Mariners and ships in Australian Waters |
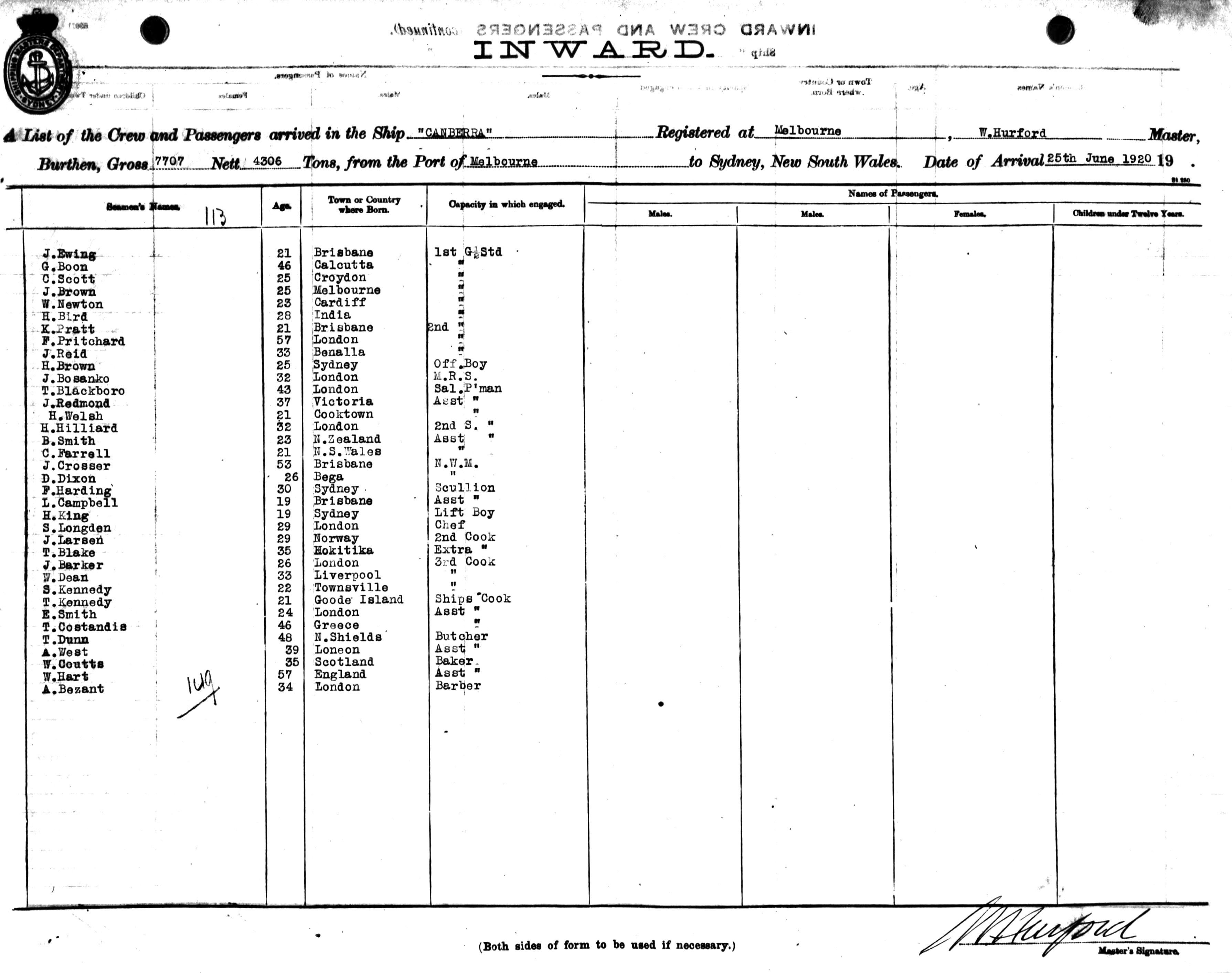
CANBERRAOF MELBOURNE, W. HURFORD, MASTER, BURTHEN 7707/4305 TONS FROM THE PORT OF MELBOURNE TO SYDNEY, NEW SOUTH WALES, 25TH JUNE 1920 |
| Surname |
Given name |
Station |
Age |
Of what Nation |
Status |
Comments |
| HURFORD |
W |
MASTER |
58 |
DUBLIN |
CREW |
|
| BAILEY |
R |
1ST MATE |
47 |
LIVERPOOL |
CREW |
|
| LAFFAN |
E |
2ND MATE |
35 |
COTSWOLD |
CREW |
|
| HUTCHININSON |
E |
3RD MATE |
27 |
MELBOURNE |
CREW |
|
| SYMONDS |
R |
PURSER |
23 |
MELBOURNE |
CREW |
|
| JOSELAND |
K |
ASST. PURSER |
19 |
BATH |
CREW |
|
| BANNISTER |
T |
WIRELESS |
39 |
MELBOURNE |
CREW |
|
| FLETT |
A |
CARPENTER |
35 |
ORKNEY |
CREW |
|
| HILL |
R |
BOATSWAIN |
44 |
LONDON |
CREW |
|
| OMAND |
E |
A. B. |
29 |
KIRKWALL |
CREW |
|
| MATHIESON |
J |
A. B. |
43 |
ABERDEEN |
CREW |
|
| MCCALLUM |
A |
A. B. |
26 |
DUNBARTON |
CREW |
|
| RILEY |
R |
A. B. |
25 |
SYDNEY |
CREW |
|
| BLIGH |
C |
A. B. |
45 |
MANCHESTER |
CREW |
|
| PETRIE |
M |
A. B. |
32 |
ORKNEY |
CREW |
|
| SWEENEY |
F |
A. B. |
56 |
LIVERPOOL |
CREW |
|
| RENTON |
A |
A. B. |
47 |
KENT |
CREW |
|
| GALLACHER |
W |
A. B. |
34 |
SCOTLAND |
CREW |
|
| MCKENZIE |
D |
A. B. |
27 |
BRISBANE |
CREW |
|
| MCDONALD |
T |
A. B. |
56 |
NEWCASTLE |
CREW |
|
| WATSON |
S |
A. B. |
21 |
ABERDEEN |
CREW |
|
| MILLER |
J |
A. B. |
48 |
ORKNEY |
CREW |
|
| HORNE |
E |
A. B. |
34 |
WALLON |
CREW |
|
| MURRAY |
P |
A. B. |
37 |
IRELAND |
CREW |
|
| HUME |
D |
A. B. |
39 |
ORKNEY |
CREW |
|
| COULL |
D |
A. B. |
36 |
SCOTLAND |
CREW |
|
| CHAMBERS |
G |
O. S. |
19 |
SYDNEY |
CREW |
|
| NLEMES ? |
R |
A. B. |
19 |
MARYBOROUGH |
CREW |
NELMES
|
| SAFORD |
H |
BOY |
16 |
SYDNEY |
CREW |
|
| PAXTON |
R |
CHIEF ENGINEER |
44 |
VICTORIA |
CREW |
|
| MAURICE |
V |
2ND ENGINEER |
32 |
BRISBANE |
CREW |
|
| FAY |
C |
3RD ENGINEER |
29 |
MAITLAND |
CREW |
|
| MACGILLIVRAY |
J |
4TH ENGINEER |
24 |
SYDNEY |
CREW |
|
| CONLON |
F |
5TH ENGINEER |
24 |
VICTORIA |
CREW |
|
| MCCARTHY |
F |
6TH ENGINEER |
24 |
MT. MORGAN |
CREW |
|
| LEE |
C |
7TH ENGINEER |
23 |
SYDNEY |
CREW |
|
| SMITH |
F |
ELECTRICIAN |
22 |
PERTH |
CREW |
|
| OLIVER |
R |
DONKEYMAN |
32 |
COOKTOWN |
CREW |
|
| TODD |
R |
GREASER |
47 |
BELFAST |
CREW |
|
| HAYES |
R |
GREASER |
44 |
CLUNES |
CREW |
|
| KAY |
J |
GREASER |
27 |
SYDNEY |
CREW |
|
| NELSON |
H |
GREASER |
27 |
FINLAND |
CREW |
|
| CEASOR |
A |
FIREMAN |
26 |
SYDNEY |
CREW |
|
| BAKER |
W |
FIREMAN |
43 |
CARDIFF |
CREW |
|
| MCINNES |
H |
FIREMAN |
53 |
ADELAIDE |
CREW |
|
| COOK |
G |
FIREMAN |
44 |
STOCKTON |
CREW |
|
| JOHNSON |
H |
FIREMAN |
31 |
LONDON |
CREW |
|
| SAIN |
L |
FIREMAN |
28 |
FINLAND |
CREW |
|
| FALLON |
P |
FIREMAN |
30 |
SYDNEY |
CREW |
|
| STEPHEN |
J |
FIREMAN |
39 |
ENGLAND |
CREW |
|
| HALTER |
W |
FIREMAN |
40 |
SWITZERLAND |
CREW |
|
| ALLEN |
S |
MALE |
|
|
PASSENGER |
|
| COANE |
J |
MALE |
|
|
PASSENGER |
|
| BABINGTON |
A |
MALE |
|
|
PASSENGER |
|
| FERHUSSON |
E |
MALE |
|
|
PASSENGER |
|
| ALLSOP |
A |
MALE |
|
|
PASSENGER |
|
| HART |
C |
MALE |
|
|
PASSENGER |
|
| MCKINLEY |
W |
MALE |
|
|
PASSENGER |
|
| PALMER |
A |
MALE |
|
|
PASSENGER |
|
| MANUELLE |
C |
MALE |
|
|
PASSENGER |
|
| MEYERS |
C |
MALE |
|
|
PASSENGER |
|
| EDGAR |
C |
MALE |
|
|
PASSENGER |
|
| KELLY |
J |
MALE |
|
|
PASSENGER |
|
| KELLY |
J |
MALE |
|
|
PASSENGER |
|
| GARNER |
E |
MALE |
|
|
PASSENGER |
|
| MOLLER |
M |
MALE |
|
|
PASSENGER |
|
| GROWDRIDGE |
P |
MALE |
|
|
PASSENGER |
|
| WEBB |
C |
MALE |
|
|
PASSENGER |
|
| GUTHRIE |
J |
MALE |
|
|
PASSENGER |
|
| MANSFIELD |
H |
MALE |
|
|
PASSENGER |
|
| ADAMS |
J |
MALE |
|
|
PASSENGER |
|
| CLIFFORD |
P |
MALE |
|
|
PASSENGER |
|
| DAVIS |
H |
MALE |
|
|
PASSENGER |
|
| HENDERSON |
H |
MALE |
|
|
PASSENGER |
|
| BATTLE |
A |
MALE |
|
|
PASSENGER |
|
| PULLAR |
J |
MALE |
|
|
PASSENGER |
|
| LENNON |
M |
MALE |
|
|
PASSENGER |
|
| HENRY |
N |
MALE |
|
|
PASSENGER |
|
| ROBERTSON |
C |
MALE |
|
|
PASSENGER |
|
| THOMAS |
G |
MALE |
|
|
PASSENGER |
|
| KENT |
J |
MALE |
|
|
PASSENGER |
|
| SLOAN |
J |
MALE |
|
|
PASSENGER |
|
| SAUNDERS |
W |
MALE |
|
|
PASSENGER |
|
| CORDER |
J |
MALE |
|
|
PASSENGER |
|
| CRAGEN |
B |
MALE |
|
|
PASSENGER |
|
| JOHNS |
J |
MALE |
|
|
PASSENGER |
|
| DIXON |
G |
MALE |
|
|
PASSENGER |
|
| ELDER |
L |
MALE |
|
|
PASSENGER |
|
| KEAST |
C |
MALE |
|
|
PASSENGER |
|
| ALEXANDER |
C |
MALE |
|
|
PASSENGER |
|
| LYNCH |
G |
MALE |
|
|
PASSENGER |
|
| ANDREWS |
C |
MALE |
|
|
PASSENGER |
|
| SYMMS |
S |
MALE |
|
|
PASSENGER |
|
| HURSE |
A |
MALE |
|
|
PASSENGER |
|
| FRASER |
H |
MALE |
|
|
PASSENGER |
|
| LEACH |
J |
MALE |
|
|
PASSENGER |
|
| KEWLEY |
K |
MALE |
|
|
PASSENGER |
|
| LESLIE |
F |
MALE |
|
|
PASSENGER |
|
| RONALSHAY |
V |
MALE |
|
|
PASSENGER |
|
| PAGE |
F |
MALE |
|
|
PASSENGER |
|
| KELLY |
R |
MALE |
|
|
PASSENGER |
|
| MARTIN |
C |
MALE |
|
|
PASSENGER |
|
| YOUNG |
A |
MALE |
|
|
PASSENGER |
|
| YOUNG |
H |
MALE |
|
|
PASSENGER |
|
| GRIFFITHS |
B |
MALE |
|
|
PASSENGER |
|
| GRIFFITHS |
W |
MALE |
|
|
PASSENGER |
|
| MANTON |
G |
MALE |
|
|
PASSENGER |
|
| ROBERTS |
R |
MALE |
|
|
PASSENGER |
|
| HUTCHINSON |
A |
MALE |
|
|
PASSENGER |
|
| SMART |
J |
MALE |
|
|
PASSENGER |
|
| FOLLETT |
F |
MALE |
|
|
PASSENGER |
|
| CHAPMAN |
A |
MALE |
|
|
PASSENGER |
|
| CUSON |
T |
MALE |
|
|
PASSENGER |
|
| BRISTOW |
W |
MALE |
|
|
PASSENGER |
|
| SIVYER |
S |
MALE |
|
|
PASSENGER |
|
| GILCHRIST |
B |
MALE |
|
|
PASSENGER |
|
| MAURER |
H |
MALE |
|
|
PASSENGER |
|
| JONES |
F |
MALE |
|
|
PASSENGER |
|
| GROVER |
H |
MALE |
|
|
PASSENGER |
|
| TREBLE |
J |
MALE |
|
|
PASSENGER |
|
| GITTINS |
W |
MALE |
|
|
PASSENGER |
|
| ALEXANDER |
K |
MALE |
|
|
PASSENGER |
|
| KINIHAN |
W |
MALE |
|
|
PASSENGER |
|
| OLCORN |
W |
MALE |
|
|
PASSENGER |
|
| POWELL |
P |
MALE |
|
|
PASSENGER |
|
| KEE |
K |
MALE |
|
|
PASSENGER |
|
| CHAPMAN |
R |
MALE |
|
|
PASSENGER |
|
| GLEESON |
B |
MALE |
|
|
PASSENGER |
|
| KELLY |
D |
MALE |
|
|
PASSENGER |
|
| STEWART |
C |
MALE |
|
|
PASSENGER |
|
| ALLEN |
R |
MALE |
|
|
PASSENGER |
|
| WHITE |
W |
MALE |
|
|
PASSENGER |
|
| DEVLIN |
T |
MALE |
|
|
PASSENGER |
|
| HEATH |
J |
MALE |
|
|
PASSENGER |
|
| STRUB |
H |
MALE |
|
|
PASSENGER |
|
| GROPPI |
F |
MALE |
|
|
PASSENGER |
|
| PADULA |
F |
MALE |
|
|
PASSENGER |
|
| PHILLIPS |
R |
MALE |
|
|
PASSENGER |
|
| STALEY |
J |
MALE |
|
|
PASSENGER |
|
| KEEL |
E |
MALE |
|
|
PASSENGER |
|
| FREESTONE |
R |
MALE |
|
|
PASSENGER |
|
| NEEDS |
J |
MALE |
|
|
PASSENGER |
|
| TOPPINAN |
L |
MALE |
|
|
PASSENGER |
|
| PEATLEY |
G |
MALE |
|
|
PASSENGER |
|
| LAY |
A |
MALE |
|
|
PASSENGER |
|
| HOLLAND |
V |
MALE |
|
|
PASSENGER |
|
| ERICKSON |
F |
MALE |
|
|
PASSENGER |
|
| HILL |
W |
MALE |
|
|
PASSENGER |
|
| BATTLE |
A |
MALE |
|
|
PASSENGER |
|
| BARNETT |
|
MISS |
|
|
PASSENGER |
|
| BARNETT |
|
MRS |
|
|
PASSENGER |
|
| HENDERSON |
|
MRS |
|
|
PASSENGER |
|
| HENDERSON |
E |
MRS |
|
|
PASSENGER |
|
| BESOMA |
|
MRS |
|
|
PASSENGER |
|
| COANE |
|
MRS |
|
|
PASSENGER |
|
| NAISH |
|
MRS |
|
|
PASSENGER |
|
| GALLACHER |
|
MISS |
|
|
PASSENGER |
|
| TOWNSON |
|
MRS |
|
|
PASSENGER |
|
| ANDERSON |
|
MRS |
|
|
PASSENGER |
|
| FERGUSSON |
|
SISTER |
|
|
PASSENGER |
|
| ALLSOP |
|
MRS |
|
|
PASSENGER |
|
| HART |
|
MRS |
|
|
PASSENGER |
|
| NICHOLLS |
|
MRS |
|
|
PASSENGER |
|
| MEYERS |
|
MRS |
|
|
PASSENGER |
|
| MARTIN |
|
MRS |
|
|
PASSENGER |
|
| DAOULIS |
|
MISS |
|
|
PASSENGER |
|
| MOLLER |
|
MRS |
|
|
PASSENGER |
|
| MILLS |
|
MRS |
|
|
PASSENGER |
|
| LEONARD |
|
MISS |
|
|
PASSENGER |
|
| LEWIS |
|
MISS |
|
|
PASSENGER |
|
| EYRE |
|
MRS |
|
|
PASSENGER |
|
| TIMBS |
|
MRS |
|
|
PASSENGER |
|
| HENDERSON |
|
MRS |
|
|
PASSENGER |
|
| STREETER |
|
MRS |
|
|
PASSENGER |
|
| PULLAR |
|
MRS |
|
|
PASSENGER |
|
| THOMSON |
J |
MRS |
|
|
PASSENGER |
|
| THOMSON |
T |
MRS |
|
|
PASSENGER |
|
| HARRIS |
M |
MRS |
|
|
PASSENGER |
|
| GERGUSSON ? |
|
MRS |
|
? FERGUSSON |
PASSENGER |
|
| INGLIS |
|
MRS |
|
|
PASSENGER |
|
| INGLIS |
|
MISS |
|
|
PASSENGER |
|
| LENNON |
|
MRS |
|
|
PASSENGER |
|
| STEPHENS |
|
MISS |
|
|
PASSENGER |
|
| WILDMAN |
M |
MRS |
|
|
PASSENGER |
|
| WILDMAN |
|
MRS |
|
|
PASSENGER |
|
| HENRY |
V |
MRS |
|
|
PASSENGER |
|
| ANDERSON |
|
MISS |
|
|
PASSENGER |
|
| TILLEY |
|
MISS |
|
|
PASSENGER |
|
| COMPTON |
|
MRS |
|
|
PASSENGER |
|
| CRAIG |
|
MISS |
|
|
PASSENGER |
|
| EDWARDS |
|
MRS |
|
|
PASSENGER |
|
| ANTHONY |
|
MRS |
|
|
PASSENGER |
|
| SALMON |
|
MRS |
|
|
PASSENGER |
|
| THOMAS |
|
MRS |
|
|
PASSENGER |
|
| THOMAS |
A |
MISS |
|
|
PASSENGER |
|
| THOMAS |
K |
MISS |
|
|
PASSENGER |
|
| SLONA |
|
MISS |
|
|
PASSENGER |
|
| SAUNDERS |
|
MRS |
|
|
PASSENGER |
|
| SAUNDERS |
|
MISS |
|
|
PASSENGER |
|
| JOHNS |
|
MRS |
|
|
PASSENGER |
|
| DIXON |
|
MRS |
|
|
PASSENGER |
|
| FISHER |
|
MISS |
|
|
PASSENGER |
|
| HENDERSON |
CHILD 1 |
|
|
|
PASSENGER |
|
| HENDERSON |
CHILD 2 |
|
|
|
PASSENGER |
|
| HENDERSON |
CHILD 3 |
|
|
|
PASSENGER |
|
| TOWNSON |
CHILD |
|
|
|
PASSENGER |
|
| HENDERSON |
CHILD 1 |
|
|
|
PASSENGER |
|
| HENDERSON |
CHILD 2 |
|
|
|
PASSENGER |
|
| KEWLEY |
CHILD 1 |
|
|
|
PASSENGER |
|
| KEWLEY |
CHILD 2 |
|
|
|
PASSENGER |
|
| ROBERTS |
CHILD |
|
|
|
PASSENGER |
|
| HUTCHINSON |
CHILD |
|
|
|
PASSENGER |
|
| DONNELLY |
P |
FIREMAN |
28 |
ANTRIM |
CREW |
|
| BANKS |
G |
FIREMAN |
40 |
SYDNEY |
CREW |
|
| EKLUND |
J |
FIREMAN |
26 |
FINLAND |
CREW |
|
| DANILAS |
E |
FIREMAN |
39 |
RUSSIA |
CREW |
|
| MULGANNON |
M |
FIREMAN |
27 |
SYDNEY |
CREW |
|
| ALEXIS |
H |
FIREMAN |
47 |
POLAND |
CREW |
|
| BURDEN |
H |
FIREMAN |
35 |
ADELAIDE |
CREW |
|
| O'NEILL |
H |
FIREMAN |
39 |
LEITH |
CREW |
|
| NEWMAN |
T |
FIREMAN |
30 |
LONDON |
CREW |
|
| BERRY |
H |
TRIMMER |
33 |
LONDON |
CREW |
|
| CONNELL |
R |
TRIMMER |
20 |
N. S. W. |
CREW |
|
| MARDON |
T |
TRIMMER |
34 |
LONDON |
CREW |
|
| WEATHERBURN |
A |
TRIMMER |
41 |
SYDNEY |
CREW |
|
| MCDONALD |
G |
TRIMMER |
27 |
N. S. W. |
CREW |
|
| HOPE |
S |
TRIMMER |
38 |
LONDON |
CREW |
|
| MC COURT |
B |
TRIMMER |
32 |
LARNE |
CREW |
|
| JONES |
A |
TRIMMER |
30 |
SYDNEY |
CREW |
|
| MODING |
T |
TRIMMER |
37 |
LONDON |
CREW |
|
| JANSTEWKY |
E |
TRIMMER |
26 |
RUSSIA |
CREW |
|
| BULLEN |
E |
TRIMMER |
28 |
LONDON |
CREW |
|
| NELSON |
E |
TRIMMER |
46 |
PORT HALMERS |
CREW |
|
| SULLIVAN |
M |
TRIMMER |
27 |
LIVERPOOL |
CREW |
|
| MORRISON |
D |
PEGGY |
26 |
LEITH |
CREW |
|
| FERGUSON |
W |
PEGGY |
23 |
GLASGOW |
CREW |
|
| JENKYN |
H |
CHIEF STEWARD |
43 |
VICTORIA |
CREW |
|
| ROWE |
H |
2ND STEWARD |
36 |
LONDON |
CREW |
|
| CUNNINGHAME |
F |
2ND SALOON STEWARD |
39 |
N. S. W. |
CREW |
|
| TUCKER |
J |
FORE CABIN STEWARD |
49 |
HANTS. |
CREW |
|
| LAZARUS |
E |
SALOON STEWARDESS |
40 |
WAGGA |
CREW |
|
| PERKIN |
M |
ASST. STEWARDESS |
29 |
MELBOURNE |
CREW |
|
| CLIFFORD |
M |
2ND SALOON STEWARDESS |
38 |
LAL LAL |
CREW |
|
| AUSTIN |
I |
ASST. STEWARDESS |
28 |
MELBOURNE |
CREW |
|
| DICKSON |
E |
FORE CABIN STEWARDESS |
33 |
SCOTLAND |
CREW |
|
| HAWKES |
H |
HEAD WAITER |
32 |
GEELONG |
CREW |
|
| AMOR |
W |
1ST GRADE STEWARD |
29 |
LONDON |
CREW |
|
| BARNABY |
V |
1ST GRADE STEWARD |
24 |
LONDON |
CREW |
|
| MCGORREY |
F |
1ST GRADE STEWARD |
26 |
ADELAIDE |
CREW |
|
| COGLAN |
E |
1ST GRADE STEWARD |
32 |
LIVERPOOL |
CREW |
|
| MITCHELL |
F |
1ST GRADE STEWARD |
25 |
LOWESTOFT |
CREW |
|
| GREEN |
A |
1ST GRADE STEWARD |
32 |
LONDON |
CREW |
|
| STRAUS |
B |
1ST GRADE STEWARD |
33 |
LONDON |
CREW |
|
| HARRIS |
R |
1ST GRADE STEWARD |
28 |
LONDON |
CREW |
|
| HOLYOAKE |
W |
1ST GRADE STEWARD |
50 |
TRANMERE |
CREW |
|
| ULPH |
C |
1ST GRADE STEWARD |
21 |
LONDON |
CREW |
|
| DALY |
M |
1ST GRADE STEWARD |
32 |
MELBOURNE |
CREW |
|
| SEMPLE |
A |
1ST GRADE STEWARD |
22 |
BRISBANE |
CREW |
|
| HARDING |
J |
1ST GRADE STEWARD |
27 |
LIVERPOOL |
CREW |
|
| MCNALLY |
J |
1ST GRADE STEWARD |
29 |
GREENOCK |
CREW |
|
| MCGUINNESS |
C |
1ST GRADE STEWARD |
34 |
LIVERPOOL |
CREW |
|
| CATHCART |
E |
1ST GRADE STEWARD |
29 |
LIVERPOOL |
CREW |
|
| PAULSEN |
A |
1ST GRADE STEWARD |
33 |
HULL |
CREW |
|
| OSMAN |
H |
1ST GRADE STEWARD |
37 |
LONDON |
CREW |
|
| CHIDBY |
H |
1ST GRADE STEWARD |
19 |
LONDON |
CREW |
|
| FOOTITT |
A |
1ST GRADE STEWARD |
45 |
LONDON |
CREW |
|
| BORROWS |
G |
1ST GRADE STEWARD |
36 |
BATH |
CREW |
|
| DEMOS |
J |
1ST GRADE STEWARD |
25 |
CYPRUS |
CREW |
|
| SPARKS |
W |
1ST GRADE STEWARD |
30 |
BRISBANE |
CREW |
|
| LANE |
W |
1ST GRADE STEWARD |
31 |
ENGLAND |
CREW |
|
| HIDE |
A |
1ST GRADE STEWARD |
38 |
KINGSTONE |
CREW |
|
| TAYLOR |
H |
1ST GRADE STEWARD |
24 |
BRISBANE |
CREW |
|
| FOSTER |
R |
1ST GRADE STEWARD |
25 |
LONDON |
CREW |
|
| SMITH |
A |
1ST GRADE STEWARD |
29 |
LONDON |
CREW |
|
| WRIGHT |
|
MRS |
|
|
PASSENGER |
|
| ALEXANDER |
|
MRS |
|
|
PASSENGER |
|
| LECKIE |
|
MRS |
|
|
PASSENGER |
|
| WHITING |
|
MISS |
|
|
PASSENGER |
|
| CHRISTIAN |
|
MRS |
|
|
PASSENGER |
|
| PLAYER |
|
MRS |
|
|
PASSENGER |
|
| SYMMS |
|
MRS |
|
|
PASSENGER |
|
| KEWLEY |
|
MRS |
|
|
PASSENGER |
|
| PREBBLE |
A |
MISS |
|
|
PASSENGER |
|
| PREBBLE |
M |
MISS |
|
|
PASSENGER |
|
| LESLIE |
|
MRS |
|
|
PASSENGER |
|
| LESLIE |
|
MISS |
|
|
PASSENGER |
|
| MARTIN |
|
MRS |
|
|
PASSENGER |
|
| MARTIN |
|
MISS |
|
|
PASSENGER |
|
| BELL |
S |
MISS |
|
|
PASSENGER |
|
| BELL |
M |
MISS |
|
|
PASSENGER |
|
| MASON |
|
MRS |
|
|
PASSENGER |
|
| DELENA |
|
MISS |
|
|
PASSENGER |
|
| GRIFFITHS |
|
MRS |
|
|
PASSENGER |
|
| GRIFFITHS |
|
MISS |
|
|
PASSENGER |
|
| DERRICK |
|
MRS |
|
|
PASSENGER |
|
| KEMP |
|
MRS |
|
|
PASSENGER |
|
| MUIR |
|
MRS |
|
|
PASSENGER |
|
| HALSTEIN |
|
MISS |
|
|
PASSENGER |
|
| HALSTEIN |
|
MISS |
|
|
PASSENGER |
|
| MCINTYRE |
|
MISS |
|
|
PASSENGER |
|
| SHERLOCK |
J |
MISS |
|
|
PASSENGER |
|
| FISHER |
M |
MISS |
|
|
PASSENGER |
|
| FISHER |
E |
MISS |
|
|
PASSENGER |
|
| BARHAM |
|
MISS |
|
|
PASSENGER |
|
| LOVE |
|
MISS |
|
|
PASSENGER |
|
| BURTON |
|
MRS |
|
|
PASSENGER |
|
| CHERRY |
|
MISS |
|
|
PASSENGER |
|
| ROBERTS |
|
MRS |
|
|
PASSENGER |
|
| HUTCHINSON |
|
MRS |
|
|
PASSENGER |
|
| HUTCHINSON |
|
MISS |
|
|
PASSENGER |
|
| ROBERTS |
|
MRS |
|
|
PASSENGER |
|
| HERBERT |
|
MISS |
|
|
PASSENGER |
|
| CUSON |
|
MRS |
|
|
PASSENGER |
|
| GORDON |
|
MISS |
|
|
PASSENGER |
|
| SIVYER |
|
MRS |
|
|
PASSENGER |
|
| GALLIGAN |
|
MRS |
|
|
PASSENGER |
|
| GALLAGHAN |
|
MISS |
|
|
PASSENGER |
|
| JOPLING |
|
MRS |
|
|
PASSENGER |
|
| O'GRADY |
|
MRS |
|
|
PASSENGER |
|
| OLCORN |
|
MRS |
|
|
PASSENGER |
|
| ABERNETHY |
|
MISS |
|
|
PASSENGER |
|
| CHAPMAN |
|
MRS |
|
|
PASSENGER |
|
| CHAPMAN |
|
MISS |
|
|
PASSENGER |
|
| ELY |
|
MISS |
|
|
PASSENGER |
|
| WHITE |
|
MRS |
|
|
PASSENGER |
|
| JOHNSON |
|
MRS |
|
|
PASSENGER |
|
| MILLER |
|
MRS |
|
|
PASSENGER |
|
| TOPPINAN |
|
MRS |
|
|
PASSENGER |
|
| EWING |
J |
1ST GRADE STEWARD |
21 |
BRISBANE |
CREW |
|
| BOON |
G |
1ST GRADE STEWARD |
46 |
CALCUTTA |
CREW |
|
| SCOTT |
C |
1ST GRADE STEWARD |
26 |
CROYDON |
CREW |
|
| BROWN |
J |
1ST GRADE STEWARD |
25 |
MELBOURNE |
CREW |
|
| NEWTON |
W |
1ST GRADE STEWARD |
23 |
CARDIFF |
CREW |
|
| BIRD |
H |
1ST GRADE STEWARD |
28 |
INDIA |
CREW |
|
| PRATT |
K |
2ND GRADE STEWARD |
21 |
BRISBANE |
CREW |
|
| PRITCHARD |
F |
2ND GRADE STEWARD |
57 |
LONDON |
CREW |
|
| REID |
J |
2ND GRADE STEWARD |
33 |
BENALLA |
CREW |
|
| BROWN |
H |
OFFICERS BOY |
25 |
SYDNEY |
CREW |
|
| BOSANKO |
J |
MESS ROOM STEWARD. |
32 |
LONDON |
CREW |
|
| BLACKBORO |
T |
SALOON PANTRYMAN |
43 |
LONDON |
CREW |
|
| REDMOND |
J |
ASST. PANTRYMAN |
37 |
VICTORIA |
CREW |
|
| WELSH |
H |
ASST. PANTRYMAN |
21 |
COOKTOWN |
CREW |
|
| HILLIARD |
H |
2ND SALOON PANTRYMAN |
32 |
LONDON |
CREW |
|
| SMITH |
B |
ASST. PANTRYMAN |
23 |
NEW ZEALAND |
CREW |
|
| FARRELL |
C |
ASST. PANTRYMAN |
21 |
N. S. W. |
CREW |
|
| CROSSER |
J |
NIGHT WATCHMAN |
53 |
BRISBANE |
CREW |
|
| DIXON |
D |
NIGHT WATCHMAN |
26 |
BEGA |
CREW |
|
| HARDING |
F |
SCULLION |
30 |
SYDNEY |
CREW |
|
| CAMPBELL |
L |
ASST. SCULLION |
19 |
BRISBANE |
CREW |
|
| KING |
H |
LIFT BOY |
19 |
SYDNEY |
CREW |
|
| LONGDEN |
S |
CHEF |
29 |
LONDON |
CREW |
|
| LARSEN |
J |
2ND COOK |
29 |
NORWAY |
CREW |
|
| BLAKE |
T |
EXTRA 2ND COOK |
35 |
HOKITIKA |
CREW |
|
| BARKER |
J |
3RD COOK |
26 |
LONDON |
CREW |
|
| DEAN |
W |
3RD COOK |
33 |
LIVERPOOL |
CREW |
|
| KENNEDY |
S |
3RD COOK |
22 |
TOWNSVILLE |
CREW |
|
| KENNEDY |
T |
SHIPS COOK |
21 |
GOODE ISLAND |
CREW |
|
| SMITH |
C |
ASST. COOK |
24 |
LONDON |
CREW |
|
| COSTANDIS |
T |
ASST. COOK |
46 |
GREECE |
CREW |
|
| DUNN |
T |
BUTCHER |
48 |
NORTH SHIELDS |
CREW |
|
| WEST |
A |
ASST. BUTCHER |
39 |
LONDON |
CREW |
|
| COUTTS |
W |
BAKER |
35 |
SCOTLAND |
CREW |
|
| HART |
W |
ASST. BAKER |
57 |
ENGLAND |
CREW |
|
| BEZANT |
A |
BARBER |
34 |
LONDON |
CREW |
|
Source: State Records Authority of New South Wales: Shipping Master's Office; Passengers Arriving 1855 - 1922; NRS13278, [X444] reel 2110 & 2111. Transcribed by Stacey Mulcahy. You may view/print a scan of the original list - a monitor set to high resolution is recommended for clarity. Use your back button to return. |
Modifications made to scans: In some instances, text was enhanced - there was still an occasional name or list which defied this effort to read it; the Master's signature is usually found at the bottom right corner of the page; some pages have been shortened; excessive black markings have been removed. The last two mods. were to enable the fastest possible display in your browser. |
Email Mary-Anne Warner 2026 | Mariner's Home | This month's list | Search |